You can use the parameter conversion function to convert the measurement results of the S-parameter (Sab) to the following parameters.
Equivalent
impedance (Zr)
and equivalent admittance (Yr) in reflection measurement

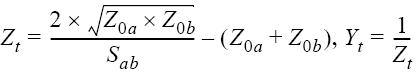
Equivalent impedance (Zt) and equivalent
admittance (Yt)
in transmission measurement

Inverse S-parameter (1/Sab)
where:
Z0a: Characteristic impedance of port a
Z0b: Characteristic impedance of port b
Z/Y Transmission Shunt

Conjugation
Conjugation converts the measurement value to complex conjugate number.
When the fixture simulator function is ON and the port impedance function is ON, the value set in the port impedance conversion is used. In other cases, the system Z0 (preset value: 50 Ω) is used.
Press Meas > Meas Setup > Conversions
Select function.
Softkey |
Function |
Off |
Off |
Z-Reflection |
Impedance (Zr) in reflection measurement |
Z-Transmit |
Impedance (Zt) in transmission measurement |
Z-Trans-Shunt |
Impedance (Zt) Transmission Shunt |
Y-Reflection |
Admittance (Yr) in reflection measurement |
Y-Transmit |
Admittance (Yt) in transmission measurement |
Y-Trans-Shunt |
Admittance (Yt) Transmission Shunt |
1/S |
Inverse S-parameter |
Conjugation |
Complex conjugate number |