3rd Order PLL

The Third Order PLL clock recovery method models the response of an ideal Type III, third-order hardware PLL.

You can specify the PLL's response in terms of its Natural Frequency (ωn), Pole Frequency (ωp), and Damping Factor (ζ).

Note that the following equations use the angular frequency, ω (in radians/sec) which is equivalent to 2πf, where f is frequency (in Hertz).

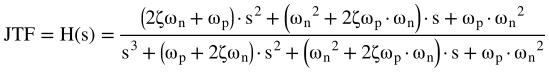
The Third Order PLL's Jitter Transfer Function looks like this:

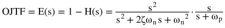
The Third Order PLL's Observed Jitter Transfer Function (or Error Function, hence, E(s)) looks like this:

When the 3rd Order PLL clock recovery mode is selected, the dialog box has these controls:

  • Symbol Rate — Enter the signal's expected baud rate.

    The Select From List drop-down menu lets you select typical rates for standard communication interface technologies. The Auto Set Symbol Rate button runs a data rate measurement and populates the Symbol Rate field with the data rate measured on the input signal.

  • Clock Skew — For PAM type signals, this can be used to center the eye opening at the clock locations by shifting the clocks relative to the data.

  • Natural Frequency — ωn in the previous equations.

  • Pole Frequency — ωp in the previous equations.

  • Damping Factor — ζ in the previous equations.

Advanced Settings